Struktur Teks Deskripsi Dan Contohnya
Bagi kalian yang belum mengetahui atau bahkan yang belum paham dengan pembahasan ini. Dibawah ini akan dipaparkan sebagai berikut pengertian teks deskripsi struktur teks deskripsi beserta contoh teks deskripsi yakni contoh teks deskripsi bahasa inggris dan contoh teks deskripsi tentang alam.
Pengertian Dan Struktur Teks Deskripsi Beserta Contoh Materi
Untuk lebih jelasnya kalian dapat melihatnya dibawah ini.
Struktur teks deskripsi dan contohnya. Teks deskripsi memliki 3 unsur sebagai struktur pembangunnya. Teks deskripsideskriptif merupakan materi bahasa indonesia kelas 7vii materi ini membahas pengertian teks deskripsi struktur teks deskripsi ciri ciri bahasa jenis jenis contoh unsurkaidah kebahasaan tujuan dan isi. Selamat pagi sobat yuk belajar tentang teks deskripsi ciri ciri teks deskripsi struktur tujuan jenis jenis dan contoh teks deskripsi.
Simaklah dengan seksama ya. Struktur struktur tersebut sebagai berikut. Struktur teks adalah bagian bagian terpisah yang membangun sebuah teks hingga menjadi sebuah teks yang utuh.
Dalam teks deskripsi ini objek yang dijelaskan hanya berupa benda tempat ruang dan lain sebagainya. Demikianlah artikel mengenai pengertian teks deskripsi ciri ciri struktur jenis jenis dan contohnya. Struktur struktur tersebut sebagai berikut.
Identifikas pada bagian ini berisikan penentuan dari. Bagi sobat yang belum faham dengan materi simaklah dengan seksama yaa. Suatu teks deskripsi yang dalam penggambaran objeknya berdasarkan atas kesan yang dimiliki oleh penulis paragraf tersebut.
Jika kamu pernah menemukan sebuah teks yang menjelaskan informasi lengkap yang terkait dengan topik yang dibahas di teks tersebut kemungkinan besar itu adalah teks deskripsi. Langsung saja pada topik kita kali ini. Oleh karena itu yuk kita belajar bersama sama tentang teks deskripsi ini beserta ciri ciri teks deskripsi struktur jenis jenis tujuan dan juga contohnya.
Disebabkan karena teks deskripsi hanya tersusun oleh 3 struktur dan mempunyai tujuan yang jelas. Dengan bantuan terdapat contoh teks deskripsi pembaca dalam memahami dan menangkap gambaran yang telah dituliskan oleh penulis. Semoga artikel ini dapat bermanfaat untuk anda semua.
Pengertian teks deskripsi dan contoh teks deskripsi beserta ciri cirinya teks deskripsi merupakan sebuah teks paragraf yang berisikan penjelasan atau gambaran dari suatu objek. Teks deskripsi memliki 3 unsur sebagai struktur pembangunnya. Pengertian ciri dan contoh teks deskripsi lengkap paragraf deskripsi adalah sebuah paragraf yang gagasan utamanya disampaikan dengan cara mendeskripsikan atau menggambarkan objek tempat atau peristiwa tertentu yang tengah menjadi topik kepada para pembacanya dengan jelas dan terperinci sehingga pembaca seolah olah melihat dan merasakan sendiri apa yang sedang diungkapkan oleh penulis.
Adapun struktur teks pada teks deskripsi diantaranya yaitu identifikasi klasifikasi dan deskripsi bagian. Karena ciri ciri dari teks ini sangat menonjol.
Struktur Teks Deskripsi Beserta Jenis Dan Pengertiannya Jagad Id
Pengertian Tujuan Struktur Ciri Dan Contoh Descriptive Text
Struktur Teks Deskripsi Just4udakar Com
Contoh Soal Teks Deskripsi Kelas Vii Pelajaran Bahasa Indonesia
Teks Deskripsi Lengkap Pengertian Tujuan Struktur Teks Deskripsi
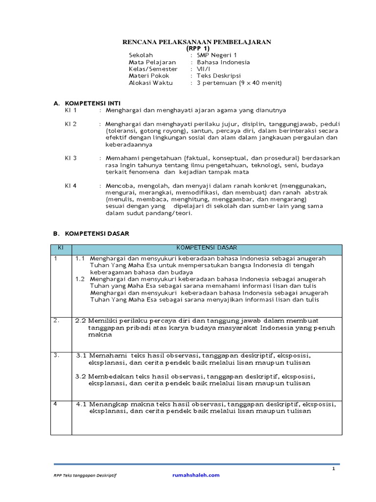
Contoh Rpp Teks Deskripsi Smp Kelas 7
11 Contoh Teks Deskripasi Pengertian Ciri Fungsi Struktur
Struktur Teks Deskripsi Just4udakar Com
Struktur Teks Deskripsi Bahan Pengayaan
Tentukan Struktur Teks Deskripsi Dari Rumah Tongkonan Dan Jelaskan
9 Contoh Teks Deskripsi Singkat Panjang Beserta Struktur Pengertian
Struktur Teks Deskripsi Bahan Pengayaan
Teks Deskripsi Pengertian Tujuan Jenis Ciri Struktur Isi
Perbedaan Teks Deskripsi Dan Teks Laporan Beserta Contohnya Contoh
Pengertian Deskripsi Beserta Struktur Jenis Dan Ciri Ciri Teks
Struktur Dan Contoh Teks Tanggapan Berisi Kritik Dan Pujian
20 Contoh Teks Deskripsi Singkat Paragraf Pengertian Ciri
Melengkapi Teks Deskripsi Zuhri Indonesia
5 Contoh Teks Deskripsi Paragraf Deskripsi Strukturnya Lengkap
9 Contoh Teks Deskripsi Singkat Panjang Beserta Struktur Pengertian

0 Response to "Struktur Teks Deskripsi Dan Contohnya"
Post a Comment