Contoh Surat Hibah Barang
Contoh surat hibah barang. Surat hibah barang adalah surat untuk menyatakan bahwa barang barang tersebut akan dihibahkan ke pihak yang memerlukan.
Contoh surat hibah kendaraan bermotor.
Contoh surat hibah barang. Hibah adalah sebuah pemberian yang berupa harta kekayaan kepada seseorang bisa keluarga ataupun yang tidak memiliki hubungan keluarga tanpa adanya imbalan alias cuma cuma. Namun sebelumnya beberapa hari yang telah lalu juga telah saya berikan beberapa contoh surat keterangan usaha sku. Surat hibah barang bagi anda yang ingin mengetahui berbagai contoh surat lengkap 2018 silahkan kunjungi langsung situs wwwedukasiprocom situs lengkap yang membahas berbagai macam contoh surat terbarusemoga bermanfaat.
Demikianlah dua contoh surat keterangan hibah yang bisa saya bagikan kepada anda pada siang hari ini. Contoh surat hibah tanah dan rumah. Contoh surat hibah tanah dari orang tua ke anak.
Selamat siang para sahabat semua dimana pun anda berada pada siang hari ini saya kembali akan membagikan sebuah contoh surat keterangan. Eset merupakan antivirus yang sangat populer karena sangat ringan dan handal dalam menangai. Contoh surat tugas mengikuti workshop.
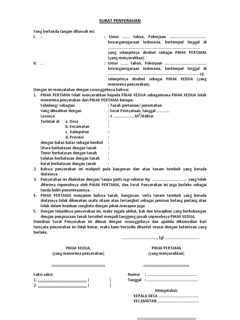
Contoh surat hibah tanah warisan. Contoh membuat surat hibah barang yang baik dan benar contoh surat hibah apa itu surat hibah barang. Bantuan hibah berupa barang yang akan kami terima dari pemerintah kabupaten.
Untuk itu langsung saja baca dibawah ini contoh surat hibah barang tersebut. Bukan hanya harta berupa tanah dan rumah namun anda juga bisa menghibahkan barang perhiasan berupa emas kepada orang lain ataupun kepada pihak lain. Contoh surat hibah tanah untuk jalan.
Contoh surat hibah tanah untuk masjid. Contoh surat keterangan hibah sebeluh kita membahas tentang surat keterangan hibah ada baiknya kita pahami dulu tentang pengerti dari hibah. Cara install dan aktivasi permanen eset smart security 8 secara permanen.
Contoh surat hibah tanah pdf. Tentunya proses hibah ini harus disertai dengan penulisan surat hibah seperti contoh di bawah ini. Contoh surat hibah emas.
Taman kanak kanak alamat. Contoh surat permohonan hibah barang milik negara bagi anda yang ingin mengetahui berbagai contoh surat lengkap 2018 silahkan kunjungi langsung situs wwwedukasiprocom situs lengkap yang membahas berbagai macam contoh surat terbarusemoga bermanfaat. Semoga contoh surat hibah tersebut bisa menjadi tambahan referensi bagi sobat semua dalam menyusun surat hibah yang baik dan benar.
Contoh surat hibah barang admin sampaikan contoh surat hibah barang untuk anda yang ingin membuat contoh surat hibah barang karena kami menyampaikan format contoh surat hibah barang lengkap dan kami berikan dibawah supaya anda bisa men contoh surat hibah barang ini. Contoh surat hibah tanah kepada pemerintah.
Surat Pernyataan Hibah Tanah Untuk Warga Administrasi Warga Rt02
Permohonan Hibah Kendaraan Ke Yayasan Jam Iatul Qabail
Contoh Surat Pernyataan Hibah Rumah Contoh Out
Surat Permohonan Hibah Dan Surat Pernyataan Menerima Hibah
Surat Keterangan Hibah Listrik
Kementerian Hukum Dan Hak Asasi Manusia Rl Sekretariat Jenderal Yth
Berita Acara Serah Terima Bantuan Hibah
Contoh Berita Acara Serah Terima Tanah
Contoh Surat Kuasa Pribadi Keluarga Kakak Adik Saudara
10 Contoh Surat Permohonan Bantuan Dana Izin Kerjasama Dll
Contoh Surat Keterangan Hibah Di Desa Tanyasini Info Portal
Kumpulan Contoh Surat Kuasa Yang Benar
Berita Negara Republik Indonesia
Surat Surat Dari Satker Provinsi
13 Contoh Surat Permohonan Dana Izin Bantuan Kerja Dll Benar
Surat Penarikan Kendaraan Dinas
Surat Perjanjian Kerjasama Hibah Resmi


0 Response to "Contoh Surat Hibah Barang"
Post a Comment